Pengumuman Jalur Prestasi SPMB SMA Kristen Barana T. P. 2026/2027
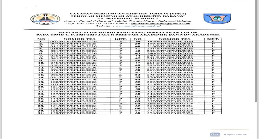
Sehubungan dengan selesainya proses verifikasi berkas dan seleksi ketat yang dilakukan oleh Tim Seleksi Penerimaan Murid Baru (SPMB) SMA Kristen Barana’, kami dengan penuh sukacita mengumumkan nama-nama calon peserta didik yang dinyatakan LOLOS melalui Jalur Prestasi (Akademik & Non-Akademik) untuk Tahun Pelajaran 2026/2027.

Bagi Calon Peserta Murid Baru yang dinyatakan lolos pada jalur Prestasi, wajib melakukan pendaftaran ulang mulai tanggal 07 s/d 14 Maret 2026 dengan ketentuan sebagai berikut :
• Membayar Biaya Pengembangan dan Pengadaan Sarana/Pra Sarana Asrama dan Sekolah (pada saat pendaftaran ulang) sesuai Pengakuan Orang Tua lewat wawancara.
• Membayar Biaya Asrama dan Biaya Peningkatan Mutu Pendidikan selama satu bulan (bulan Juli 2026) sesuai Pengakuan Orang Tua lewat wawancara.
• Pembayaran Dana tersebut dibayarkan melalui : Rek Sekolah pada Bank BRI No : 023201007269531 a.n. SMA Kristen Barana’ (bukti transfer dikirim ke no. WA: 0852 2219 7903)
• Setelah mendaftar ulang, dinyatakan resmi menjadi Murid Baru SMA Kristen Barana’ dan :
• Masuk ke Asrama pada Tanggal 12 -13 Juni 2026.
•Pertemuan dengan pihak Sekolah, Pengurus Komite, Pengurus Yayasan Perguruan Kristen Toraja (YPKT) dengan Orang Tua Murid Baru, Tanggal 13 Juni 2026 Pukul : 13.00 Wita Tempat, Aula SMA Kristen Barana’.
• Mengawali Tahun Pelajaran, Murid Baru Wajib mengikuti pembelajaran percakapan Bahasa Inggris pada tanggal 15 Juni – 11 Juli 2026.
• Masa Pengenalan Lingkungan Sekolah dan Asrama, Tanggal 13 – 15 Juli 2026.
• Bagi Calon Peserta Didik yang tidak melakukan pendaftaran ulang sampai pada tanggal yang telah ditentukan dianggap mengundurkan diri.
Kami mengucapkan selamat kepada seluruh calon peserta didik yang telah terpilih. Pencapaian ini merupakan bukti kerja keras, dedikasi, dan talenta luar biasa yang kalian miliki. Menjadi bagian dari keluarga besar SMA Kristen Barana’ berarti siap untuk dididik menjadi pribadi yang unggul dalam karakter, iman, dan ilmu pengetahuan.
Komentar
Puji Tuhan
sayang tidak save melihat hasil nya
saya senang
Komentari Tulisan Ini
Tulisan Lainnya
Prestasi Gemilang: 30 Siswa SMA Kristen Barana’ Lolos SNBP 2026, Melangkah ke PTN Impian!
Kabar membanggakan menyelimuti keluarga besar SMA Kristen Barana’. Tahun 2026 menjadi saksi sejarah baru bagi prestasi akademik sekolah kita. Sebanyak 30 siswa-siswi telah resmi d
Siswa SMA Kristen Barana’ Harumkan Nama Toraja Utara di Ajang Olimpiade Matematika Internasional
TORAJA UTARA – Prestasi membanggakan kembali datang dari dunia pendidikan Toraja Utara. Bupati Toraja Utara, Frederik Victor Palimbong, S.T., S.M., M.Ak., secara resmi menerima da
Pengumuman Jalur Tes SPMB SMA Kristen Barana’ T.A 2026/2027
Halo, Calon Siswa SMA Kristen Barana' Momen yang dinanti-nantikan akhirnya tiba. Setelah melalui serangkaian proses seleksi yang ketat, mulai dari persiapan berkas hingga perjuangan di
Kilau Prestasi di Pulau Dewata: Delegasi SMA KRISTEN BARANA’ Berjaya di Final ASMO 2025
Bali tidak hanya menyuguhkan keindahan alamnya, tetapi juga menjadi saksi bisu perjuangan dan kecemerlangan intelektual para siswa kita. Pada tanggal 12-14 Desember 2025, delegasi sekol
TIM VOCAL GROUP SMA KRISTEN BARANA’ MERAIH JUARA I LOMBA VOCAL GROUP “CHRISTMAS TALENT”2025
Prestasi membanggakan kembali ditorehkan oleh Tim Vocal Group SMA Kristen Barana’ dengan berhasil meraih Juara I pada ajang Lomba Vocal Group “Christmas Talent”. Kegia
Puji tuhan